橢圓齒輪流量計及容積式流量計產生誤差分析
容積式流量計在流量儀表中是精度最高的一類流量測量儀表,其基本原理是利用機械測量元件把流體連續(xù)不斷地分割成單個已知的體積部分,根據測量室不斷地重復充滿和排放該體積部分流體的次數來測量流體體積總量。容積式流量計的流量范圍與被測介質的種類(主要決定于流體粘度)、使用特點(連續(xù)工作還是間歇工作)、測量準確度等因素有關。在工業(yè)流量測量領域,容積式流量計與 差壓式流量計、浮子流量計并列為三類使用量最大的流量計,常應用于昂貴介質(油品、天然氣等)的總量測量。容積式流量計有橢圓齒輪流量計,雙轉子流量計、腰輪流量計、刮板流量計、活塞式流量計等類型,同一容積式流量計,對于介質種類,用于較高粘度的流體時,其流量范圍較大(主要是下限流量可以擴展到較低的量值);對于使用特點,用于間歇測量時,其流量范圍較大(主要是上限流量可以比連續(xù)工作時大);對于測量準確度,用于低準確度測量時,其流量范圍較大,而用于高準確度測量時,流量范圍較小。從流量計特性曲線上也可以清楚地看到這一點。
為了保持儀表良好的性能和較長的使用壽命,使用時最大流量最好應選在儀表最大流量的70%-80%。
由于一般的容積式流量計體積龐大,在大流量時會產生較大噪聲,所以一般適合中小流量測量。結合容積式流量計的性能,在需要測量大流量時,可采用45度組合腰輪結構的流量計;在需要低噪聲工作的場合,可選用雙轉子流量計。
橢圓齒輪流量計容積式流量計是目前測量準確度最高的流量計之一。廠家在產品樣本上給出的測量準確里是指在實驗室參比條件下得到的基本誤差,而在實際使用中,由于現場條件的偏離,必然會帶來附加誤差,實際誤差應該是基本誤差和附加誤差的合成。所以儀表選型時應根據現場可能出現的問題采取措施。
現場條件對測量準確度影響較大的主要有被測介質粘度的影響和溫度的影響。
流體粘度對流量計誤差特性的影響是對于流量的誤差影響較大的因素之一,當實際使用的流體粘度與實驗室檢定時的流體粘度有較大差異時,應進行相應的粘度修正。如果除流體粘度外,其他參數沒有明顯的變化,則可以用進行粘度修正。關于以上所說的流量計的誤差特點,與別的類型的流量計相比較有哪些明顯的不同,用戶在安裝與使用橢圓齒輪流量計此類的容積式流量計過程中需要注意以下幾點:
①定排量
容積式流量計的定排量是保證容積式流量計精度的重要因素.因此檢測定排量元件的大小和物性是影響因素。
a.溫度。隨著溫度上升,定排量元件材料的體膨脹使容積增大.例如,鋁材料制成的流量計,其溫度的影響比其他材料制成的流量計的影響要大.典型地,每增加1O℃F溫度,誤差增加0.02%。
b.磨損。隨著使用時間的增加,磨損使定排量增大。但通常這種磨損較慢且可預測。
c.黏度。液體的黏度會在檢側元件表面形成一層薄膜,隨著薄膜厚度的增加,定排量將減小,直到薄膜厚度不再增加(由于部件的摩擦)。
d.涂層和沉淀。與黏度造成檢測元件表面形成薄膜的原理類似,涂層和沉淀也使檢測元件的定排量減小。對于工況溫度接近熔點溫度的一些含石蠟油的原油,其厚度變化會很大。
②間隙造成泄漏量
容積式流量計中,移動部件和靜止部件之間有間隙,這被稱為毛細管密封。不同的流體差壓造成流體從定排量檢測元件中流失是造成誤差的重要因素。
a.流率。隨著流體差壓的增加,流率增加,因此,漂移也隨之增加,如圖2-79曲線1所示。此外,隨著差壓增加,部件內摩擦和驅動部件轉矩增大,如圖2-79曲線2所示。因此,存在最好流率,使漂移最小。
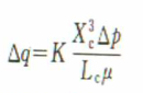
b.黏度.當液體黏度增加時,間隙內不容易流過流體,如圖2-80所示,可用下式確定層流時的泄漏量△q:

式中,K是儀表系數,根據工程單位的不同,其值改變;Xc是間晾寬度;Lc是間隙長度;△p是間隙兩側的差壓;μ是液體的絕對黏度

上式表明,隨流體黏度增加,流阻增加,差壓隨之增加,造成瀚液量增加。此外,黏度增大,使流體不易流過間隙,因此,漏液量減小。前者以正比方式增大,后者以反比方式減小。
c.摩擦。機械部件的摩擦增加,會消耗更多流體的壓頭來克服摩擦.通常,如果50%最大流量時的漂移量大于100%最大流量時的漂移量,則表示機械內部的摩擦已經太大,應對有關部件更換。
d.磨損。機械部件磨損造成漂移量增加,間隙的微小增加會造成測量誤差的成倍增加。
例如,0.004in磨損造成的測量誤差是0.002in磨損造成測量誤差的8倍。
以上是小編為大家?guī)黻P于流量計的相關資訊,更多資訊請登錄:
http://monbuk.cn/